Официальное опубликование правовых актов
ОФИЦИАЛЬНОЕ ОПУБЛИКОВАНИЕ
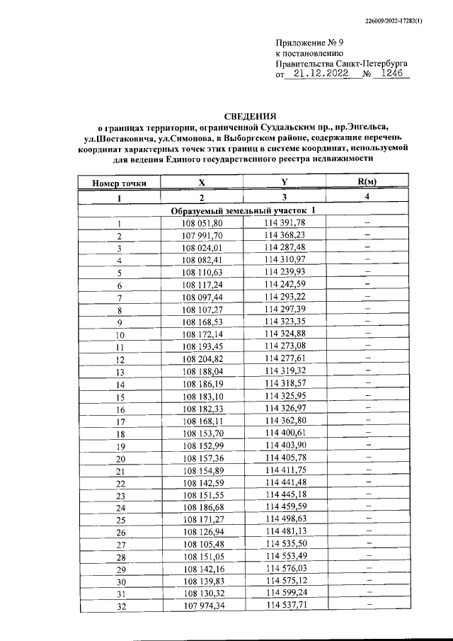
Постановление Правительства Санкт-Петербурга от 21.12.2022 № 1246
"О внесении изменений в постановление Правительства Санкт-Петербурга от 21.12.2010 №1757"
Номер опубликования: 7800202212280002
Дата опубликования: 28.12.2022
Страница №15 из 20:
Увеличить