Официальное опубликование правовых актов
ОФИЦИАЛЬНОЕ ОПУБЛИКОВАНИЕ
Постановление Правительства Санкт-Петербурга от 21.12.2022 № 1258
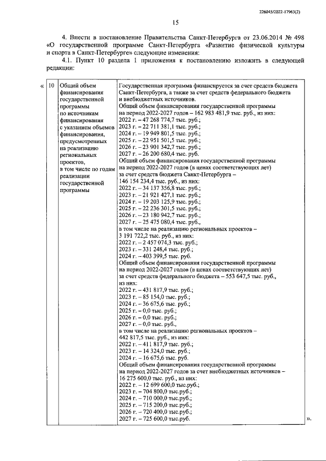
"О перераспределении объемов работ, предусмотренных Комитету по строительству, между объектами Адресной инвестиционной программы на 2022 год и на плановый период 2023 и 2024 годов и внесении изменений в постановления Правительства Санкт-Петербурга от 04.06.2014 № 453, от 23.06.2014 № 498, от 30.06.2014 № 553"
Номер опубликования: 7800202212270009
Дата опубликования: 27.12.2022
Страница №15 из 34:
Увеличить