Официальное опубликование правовых актов
ОФИЦИАЛЬНОЕ ОПУБЛИКОВАНИЕ
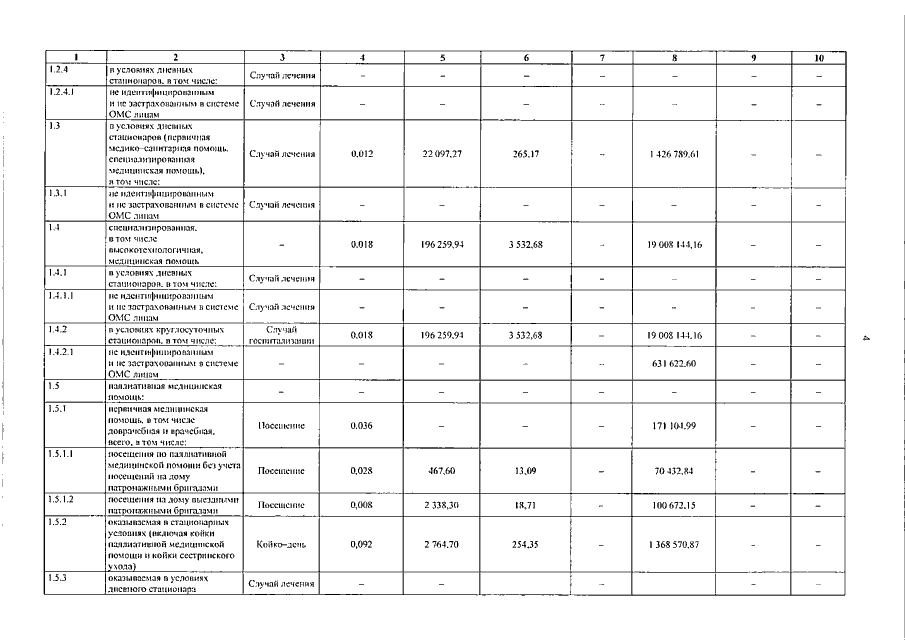
Закон Санкт-Петербурга от 21.12.2022 № 737-121
"О Территориальной программе государственных гарантий бесплатного оказания гражданам медицинской помощи в Санкт-Петербурге на 2023 год и на плановый период 2024 и 2025 годов"
Номер опубликования: 7800202212220005
Дата опубликования: 22.12.2022
Страница №104 из 139:
Увеличить