Официальное опубликование правовых актов
ОФИЦИАЛЬНОЕ ОПУБЛИКОВАНИЕ
Постановление Правительства Санкт-Петербурга от 15.12.2022 № 1210
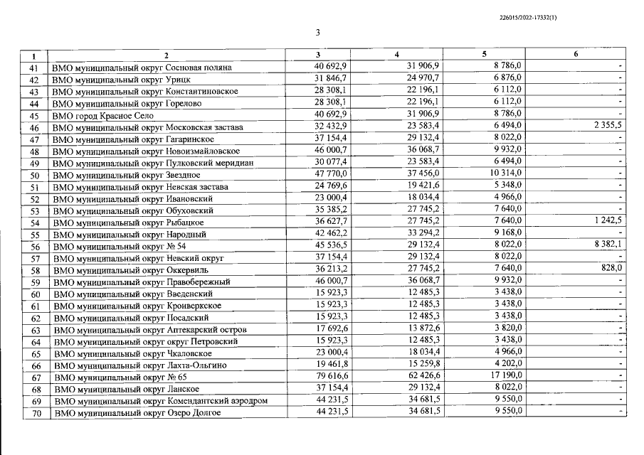
"Об утверждении нормативов формирования расходов на оплату труда депутатов, выборных должностных лиц местного самоуправления внутригородских муниципальных образований города федерального значения Санкт-Петербурга, осуществляющих свои полномочия на постоянной основе, муниципальных служащих и содержание органов местного самоуправления внутригородских муниципальных образований города федерального значения Санкт-Петербурга на 2023 год
"
Номер опубликования: 7800202212210015
Дата опубликования: 21.12.2022
Страница №4 из 6:
Увеличить