Официальное опубликование правовых актов
ОФИЦИАЛЬНОЕ ОПУБЛИКОВАНИЕ
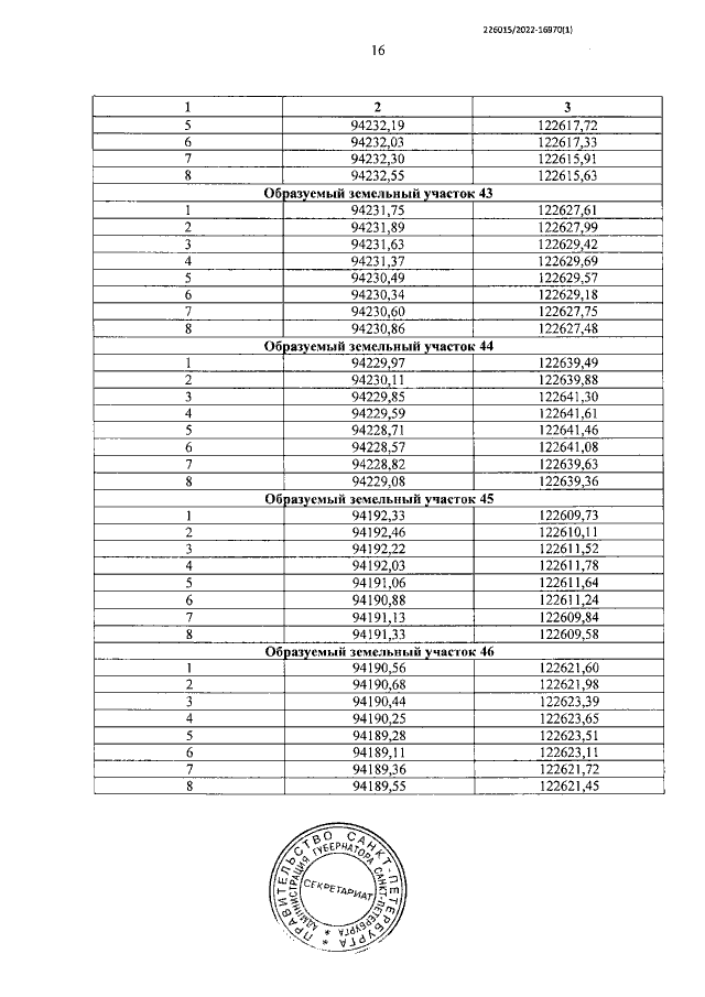
Постановление Правительства Санкт-Петербурга от 15.12.2022 № 1207
"Об утверждении проекта планировки с проектом межевания территории для размещения линейного объекта регионального значения "Широтная магистраль скоростного движения с мостом через р.Неву в створе Фаянсовой ул. - Зольной ул. Этап 3. Участок от Союзного пр. до административной границы Санкт-Петербурга"
Номер опубликования: 7800202212210010
Дата опубликования: 21.12.2022
Страница №61 из 61:
Увеличить