Официальное опубликование правовых актов
ОФИЦИАЛЬНОЕ ОПУБЛИКОВАНИЕ
Постановление Правительства Санкт-Петербурга от 15.12.2022 № 1213
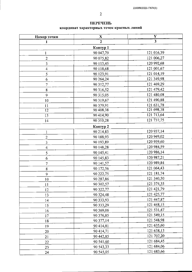
"Об утверждении проекта планировки с проектом межевания территории для размещения линейного объекта регионального значения "ул.Дыбенко от Дальневосточного пр. до Октябрьской наб."
Номер опубликования: 7800202212210008
Дата опубликования: 21.12.2022
Страница №4 из 18:
Увеличить