Официальное опубликование правовых актов
ОФИЦИАЛЬНОЕ ОПУБЛИКОВАНИЕ
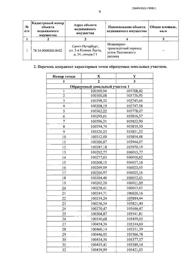
Постановление Правительства Санкт-Петербурга от 15.12.2022 № 1231
"Об утверждении проекта планировки с проектом межевания территории для размещения линейного объекта регионального значения "Южная ул. в Лахте"
Номер опубликования: 7800202212210006
Дата опубликования: 21.12.2022
Страница №30 из 40:
Увеличить