Официальное опубликование правовых актов
ОФИЦИАЛЬНОЕ ОПУБЛИКОВАНИЕ
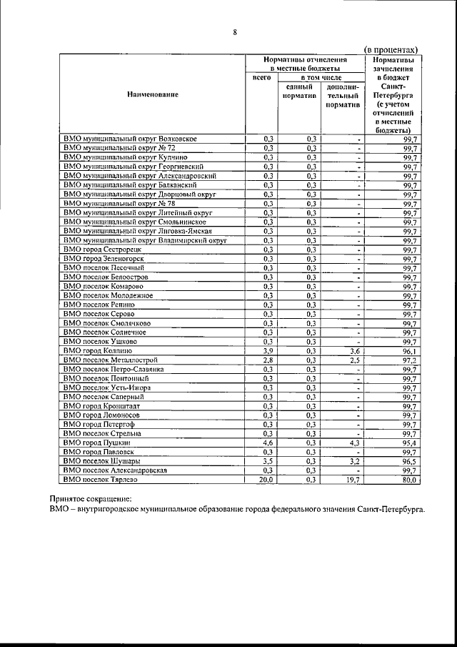
Закон Санкт-Петербурга от 29.11.2022 № 666-104
"О бюджете Санкт-Петербурга на 2023 год и на плановый период 2024 и 2025 годов"
Номер опубликования: 7800202212050008
Дата опубликования: 05.12.2022
Страница №1009 из 1066:
Увеличить