Официальное опубликование правовых актов
ОФИЦИАЛЬНОЕ ОПУБЛИКОВАНИЕ
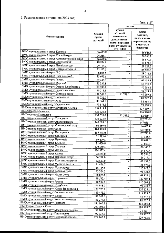
Закон Санкт-Петербурга от 10.11.2022 № 625-100
"О внесении изменений в Закон Санкт-Петербурга "О бюджете Санкт-Петербурга на 2022 год и на плановый период 2023 и 2024 годов"
Номер опубликования: 7800202211150002
Дата опубликования: 15.11.2022
Страница №1029 из 1120:
Увеличить