Официальное опубликование правовых актов
ОФИЦИАЛЬНОЕ ОПУБЛИКОВАНИЕ
Постановление Правительства Санкт-Петербурга от 11.10.2022 № 938
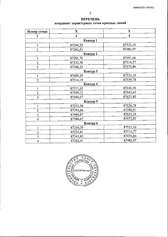
"Об утверждении проекта планировки с проектом межевания территории для размещения линейного объекта регионального значения "Внутриквартальный проезд от Ботанической ул. до Широкой ул."
Номер опубликования: 7800202210140003
Дата опубликования: 14.10.2022
Страница №4 из 14:
Увеличить