Официальное опубликование правовых актов
ОФИЦИАЛЬНОЕ ОПУБЛИКОВАНИЕ
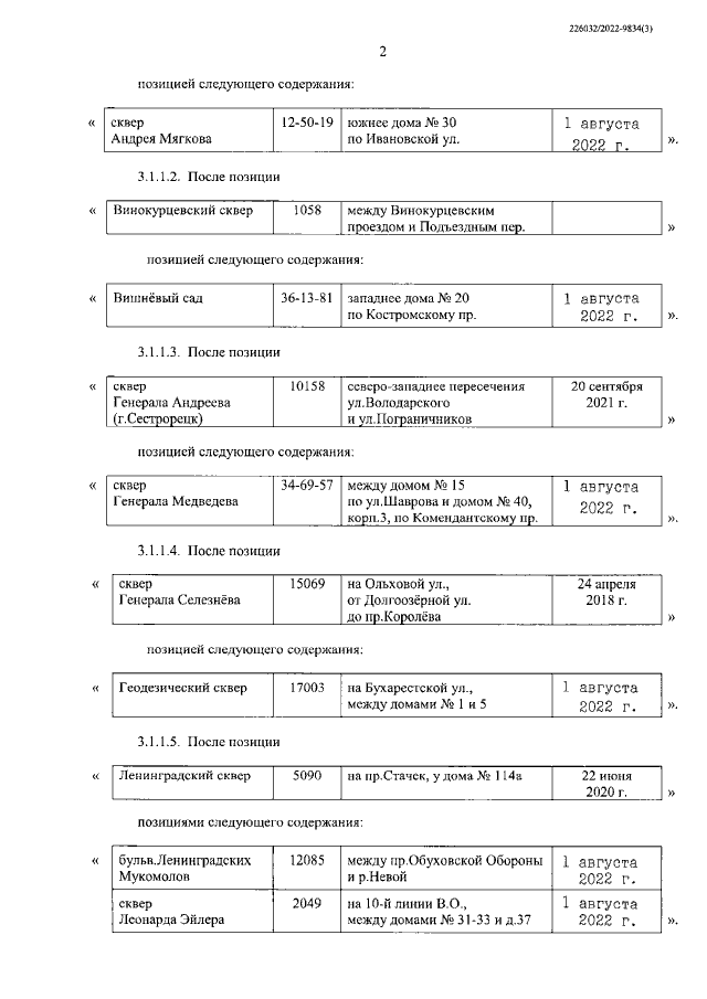
Постановление Правительства Санкт-Петербурга от 01.08.2022 № 689
"О присвоении наименований безымянным территориям зеленых насаждений общего пользования Санкт-Петербурга"
Номер опубликования: 7800202208030003
Дата опубликования: 03.08.2022
Страница №2 из 4:
Увеличить