Официальное опубликование правовых актов
ОФИЦИАЛЬНОЕ ОПУБЛИКОВАНИЕ
Постановление Правительства Санкт-Петербурга от 22.07.2022 № 678
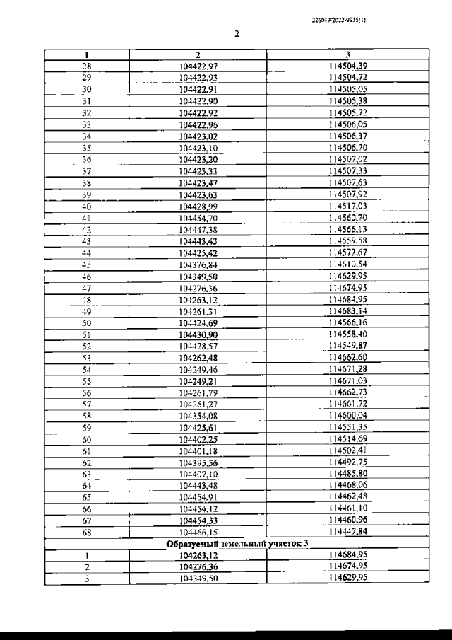
"Об утверждении проекта планировки с проектом межевания территории для размещения линейного объекта регионального значения "Проектируемая улица №2 от ул.Есенина до Лиственной ул., часть Лиственной ул. от проектируемой улицы №2 до ул.Жака Дюкло, часть ул.Жака Дюкло от Лиственной ул. до проектируемой пешеходной улицы, проектируемая пешеходная улица, проектируемая улица №1 до Северного пр."
Номер опубликования: 7800202207290005
Дата опубликования: 29.07.2022
Страница №34 из 38:
Увеличить