Официальное опубликование правовых актов
ОФИЦИАЛЬНОЕ ОПУБЛИКОВАНИЕ
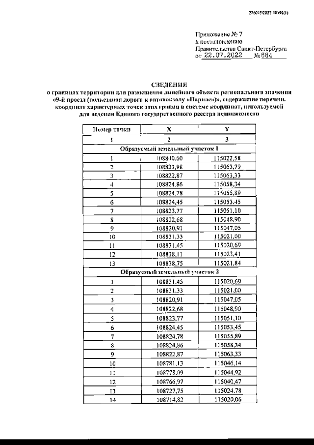
Постановление Правительства Санкт-Петербурга от 22.07.2022 № 684
"Об утверждении проекта планировки с проектом межевания территории для размещения линейного объекта регионального значения "9-й проезд (подъездная дорога к автовокзалу "Парнас")"
Номер опубликования: 7800202207290003
Дата опубликования: 29.07.2022
Страница №25 из 29:
Увеличить