Официальное опубликование правовых актов
ОФИЦИАЛЬНОЕ ОПУБЛИКОВАНИЕ
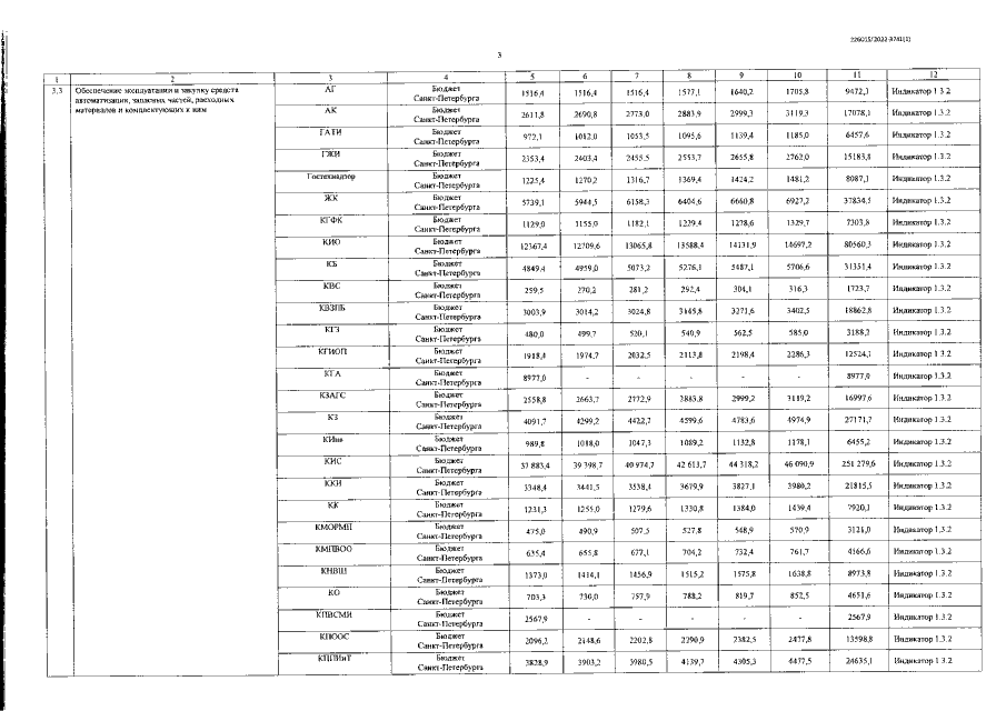
Постановление Правительства Санкт-Петербурга от 21.03.2022 № 221
"О внесении изменений в постановление Правительства Санкт-Петербурга от 23.06.2014 № 494"
Номер опубликования: 7800202203250005
Дата опубликования: 25.03.2022
Страница №49 из 64:
Увеличить