Официальное опубликование правовых актов
ОФИЦИАЛЬНОЕ ОПУБЛИКОВАНИЕ
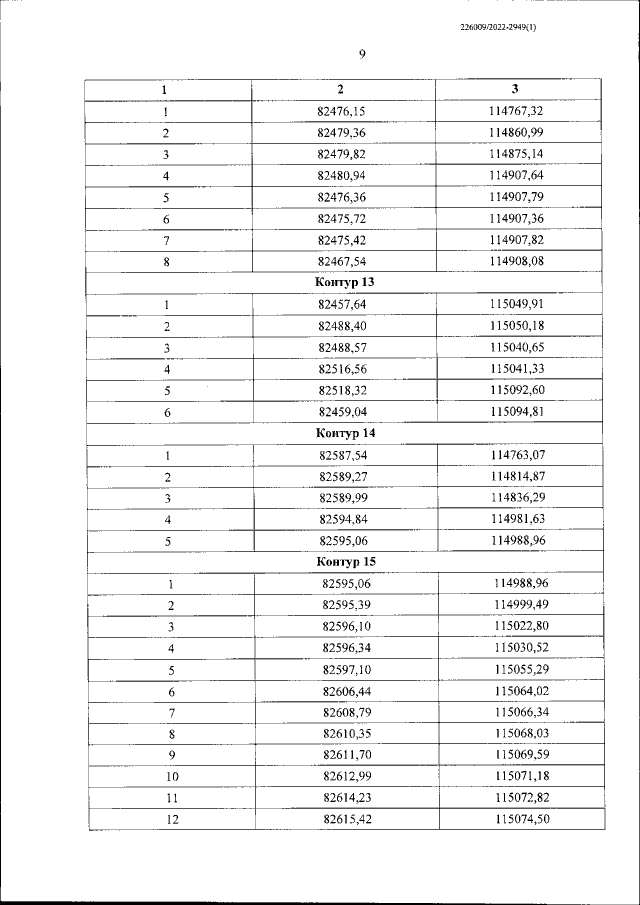
Постановление Правительства Санкт-Петербурга от 10.03.2022 № 178
"Об утверждении проекта планировки с проектом межевания территории для размещения линейного объекта регионального значения "Транспортная развязка на пересечении Московского шоссе с Дунайским пр."
Номер опубликования: 7800202203180002
Дата опубликования: 18.03.2022
Страница №11 из 67:
Увеличить