Официальное опубликование правовых актов
ОФИЦИАЛЬНОЕ ОПУБЛИКОВАНИЕ
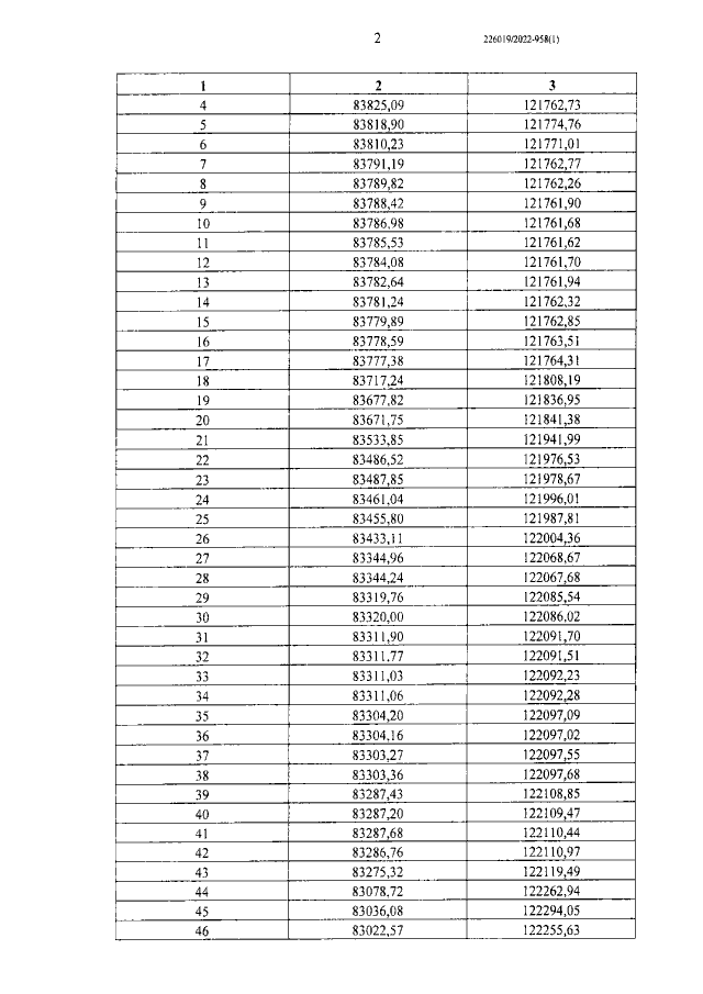
Постановление Правительства Санкт-Петербурга от 27.01.2022 № 45
"Об утверждении проекта планировки с проектом межевания территории для размещения линейного объекта регионального значения "Грузовой проезд от 2-го Обуховского проезда до 5-го Обуховского проезда (проектируемого)"
Номер опубликования: 7800202202040004
Дата опубликования: 04.02.2022
Страница №12 из 25:
Увеличить