Официальное опубликование правовых актов
ОФИЦИАЛЬНОЕ ОПУБЛИКОВАНИЕ
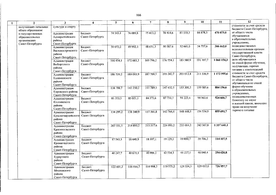
Постановление Правительства Санкт-Петербурга от 23.12.2021 № 1063
"О внесении изменений в постановление Правительства Санкт-Петербурга от 23.06.2014 № 497"
Номер опубликования: 7800202112300004
Дата опубликования: 30.12.2021
Страница №167 из 250:
Увеличить