Официальное опубликование правовых актов
ОФИЦИАЛЬНОЕ ОПУБЛИКОВАНИЕ
Постановление Правительства Санкт-Петербурга от 23.07.2021 № 529
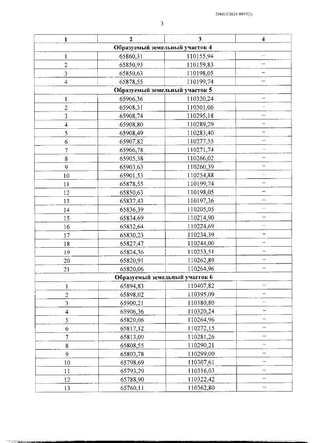
"Об утверждении проекта планировки с проектом межевания территории, ограниченной Киевским шоссе, проектируемой улицей 3, проектируемой магистралью, проектируемой улицей 4, проектируемой улицей 3, административной границей с Ленинградской областью, в Пушкинском районе"
Номер опубликования: 7800202107290002
Дата опубликования: 29.07.2021
Страница №25 из 33:
Увеличить