Официальное опубликование правовых актов
ОФИЦИАЛЬНОЕ ОПУБЛИКОВАНИЕ
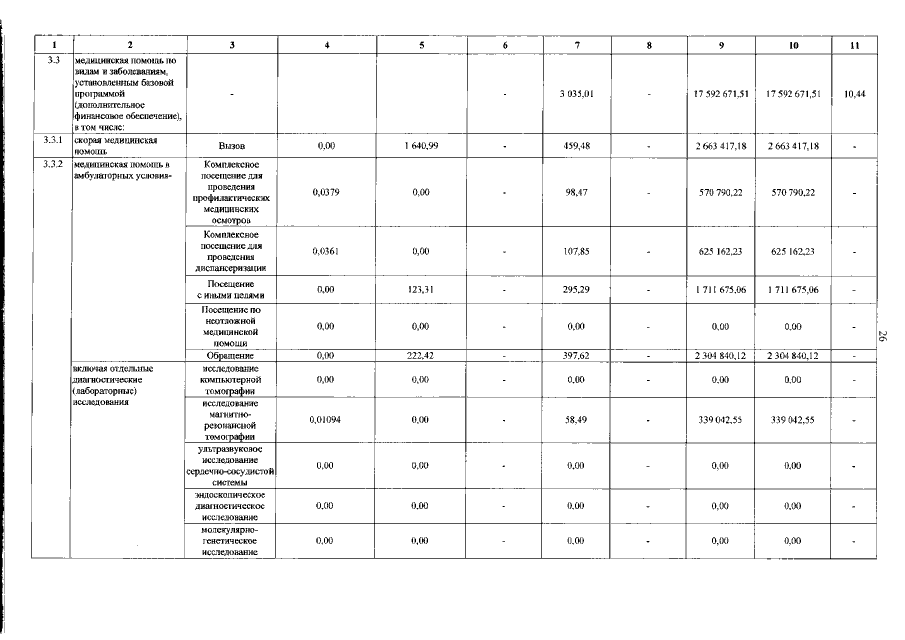
Закон Санкт-Петербурга от 16.07.2021 № 361-81
"О внесении изменений в Закон Санкт-Петербурга "О Территориальной программе государственных гарантий бесплатного оказания гражданам медицинской помощи в Санкт-Петербурге на 2021 год и на плановый период 2022 и 2023 годов"
Номер опубликования: 7800202107190002
Дата опубликования: 19.07.2021
Страница №63 из 64:
Увеличить