Постановление Правительства Санкт-Петербурга от 29.06.2021 № 436
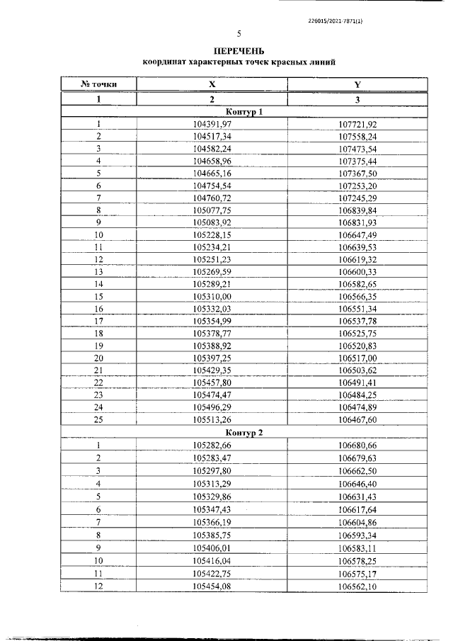
"Об утверждении проекта планировки с проектом межевания территории для размещения линейного объекта регионального значения "Планерная ул. от Глухарской ул. до р. Каменки"
"Об утверждении проекта планировки с проектом межевания территории для размещения линейного объекта регионального значения "Планерная ул. от Глухарской ул. до р. Каменки"
Номер опубликования: 7800202107020004
Дата опубликования:
02.07.2021
