Официальное опубликование правовых актов
ОФИЦИАЛЬНОЕ ОПУБЛИКОВАНИЕ
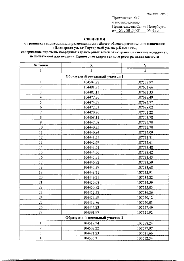
Постановление Правительства Санкт-Петербурга от 29.06.2021 № 436
"Об утверждении проекта планировки с проектом межевания территории для размещения линейного объекта регионального значения "Планерная ул. от Глухарской ул. до р. Каменки"
Номер опубликования: 7800202107020004
Дата опубликования: 02.07.2021
Страница №27 из 31:
Увеличить