Постановление Правительства Санкт-Петербурга от 25.02.2021 № 80
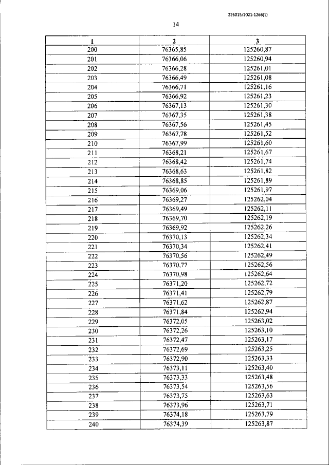
"Об утверждении проекта планировки с проектом межевания территории для размещения линейного объекта регионального значения "Автомобильные дороги с сопутствующими сетями: магистраль №1 на участке от проектируемой магистрали №2 до проектируемого продолжения Софийской ул., проезд №1 на участке от проектируемой магистрали №1 до проектируемого проезда №2, проезд №2 от проектируемого проезда №1 до проектируемого продолжения Софийской ул."
"Об утверждении проекта планировки с проектом межевания территории для размещения линейного объекта регионального значения "Автомобильные дороги с сопутствующими сетями: магистраль №1 на участке от проектируемой магистрали №2 до проектируемого продолжения Софийской ул., проезд №1 на участке от проектируемой магистрали №1 до проектируемого проезда №2, проезд №2 от проектируемого проезда №1 до проектируемого продолжения Софийской ул."
Номер опубликования: 7800202103050002
Дата опубликования:
05.03.2021
