Официальное опубликование правовых актов
ОФИЦИАЛЬНОЕ ОПУБЛИКОВАНИЕ
Постановление Правительства Санкт-Петербурга от 09.09.2020 № 700
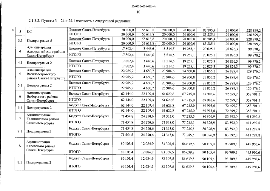
"О внесении изменений в постановления Правительства Санкт-Петербурга от 10.08.2010 № 1058, от 17.06.2014 № 486"
Номер опубликования: 7800202009180018
Дата опубликования: 18.09.2020
Страница №10 из 34:
Увеличить