Официальное опубликование правовых актов
ОФИЦИАЛЬНОЕ ОПУБЛИКОВАНИЕ
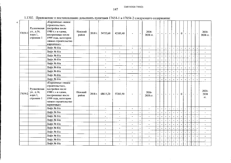
Постановление Правительства Санкт-Петербурга от 17.07.2020 № 521
"О внесении изменений в постановление Правительства Санкт-Петербурга от 18.02.2014 № 84"
Номер опубликования: 7800202007240001
Дата опубликования: 24.07.2020
Страница №147 из 165:
Увеличить