Официальное опубликование правовых актов
ОФИЦИАЛЬНОЕ ОПУБЛИКОВАНИЕ
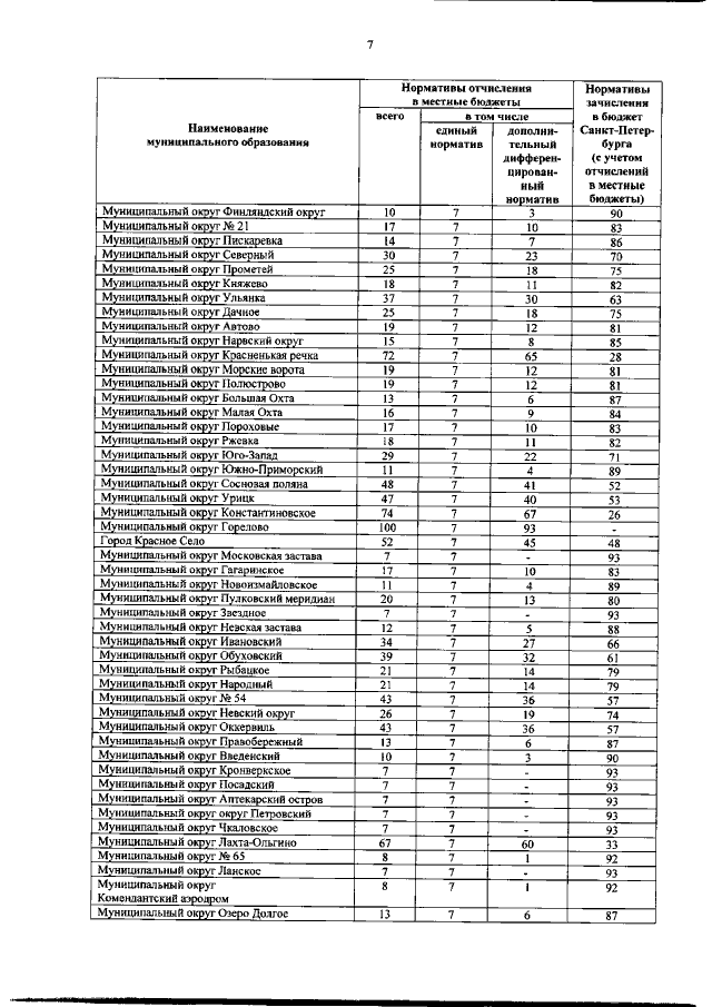
Закон Санкт-Петербурга от 29.11.2019 № 614-132
"О бюджете Санкт-Петербурга на 2020 год и на плановый период 2021 и 2022 годов"
Номер опубликования: 7800201912090003
Дата опубликования: 09.12.2019
Страница №1610 из 1730:
Увеличить