Официальное опубликование правовых актов
ОФИЦИАЛЬНОЕ ОПУБЛИКОВАНИЕ
Постановление Правительства Санкт-Петербурга от 12.11.2019 № 785
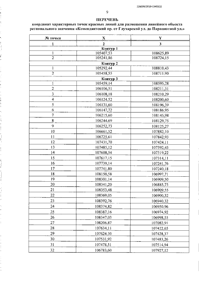
"Об утверждении проекта планировки с проектом межевания территории для размещения линейного объекта регионального значения "Комендантский пр. от Глухарской ул. до Парашютной ул."
Номер опубликования: 7800201911180003
Дата опубликования: 18.11.2019
Страница №11 из 52:
Увеличить