Официальное опубликование правовых актов
ОФИЦИАЛЬНОЕ ОПУБЛИКОВАНИЕ
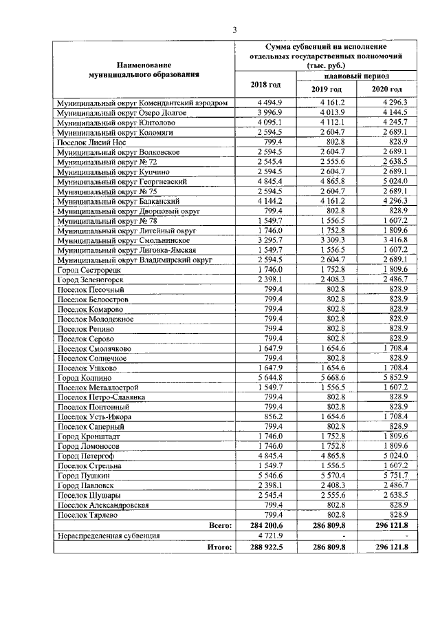
Закон Санкт-Петербурга от 08.11.2018 № 627-128
"О внесении изменений и дополнений в Закон Санкт-Петербурга "О бюджете Санкт-Петербурга на 2018 год и на плановый период 2019 и 2020 годов"
Номер опубликования: 7800201811140001
Дата опубликования: 14.11.2018
Страница №1207 из 1336:
Увеличить