Официальное опубликование правовых актов
ОФИЦИАЛЬНОЕ ОПУБЛИКОВАНИЕ
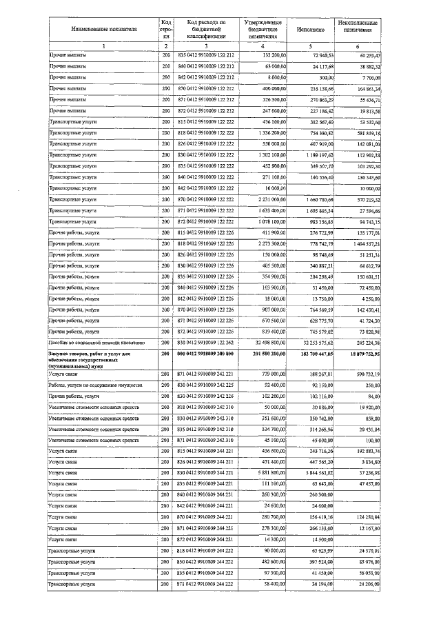
Закон Санкт-Петербурга от 30.06.2016 № 421-68
"Об исполнении бюджета Санкт-Петербурга за 2015 год"
Номер опубликования: 7800201607080001
Дата опубликования: 08.07.2016
Страница №130 из 835:
Увеличить