Официальное опубликование правовых актов
ОФИЦИАЛЬНОЕ ОПУБЛИКОВАНИЕ
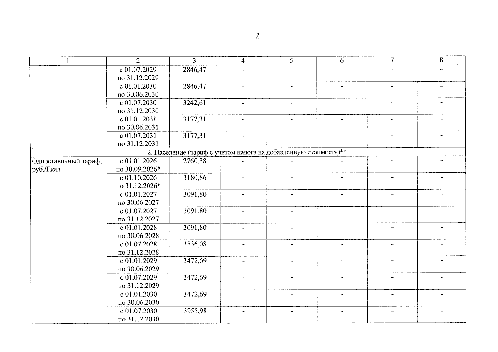
Приказ министерства тарифного регулирования Ярославской области от 18.12.2025 № 374-тэ
"Об установлении тарифов на тепловую энергию, поставляемую потребителям государственным предприятием Ярославской области "Ярославский областной водоканал" (городской округ город Рыбинск), на 2026 – 2031 годы"
(Зарегистрирован 19.12.2025 № 43-17071)
Номер опубликования: 7601202512190043
Дата опубликования: 19.12.2025
Страница №4 из 6:
Увеличить