Официальное опубликование правовых актов
ОФИЦИАЛЬНОЕ ОПУБЛИКОВАНИЕ
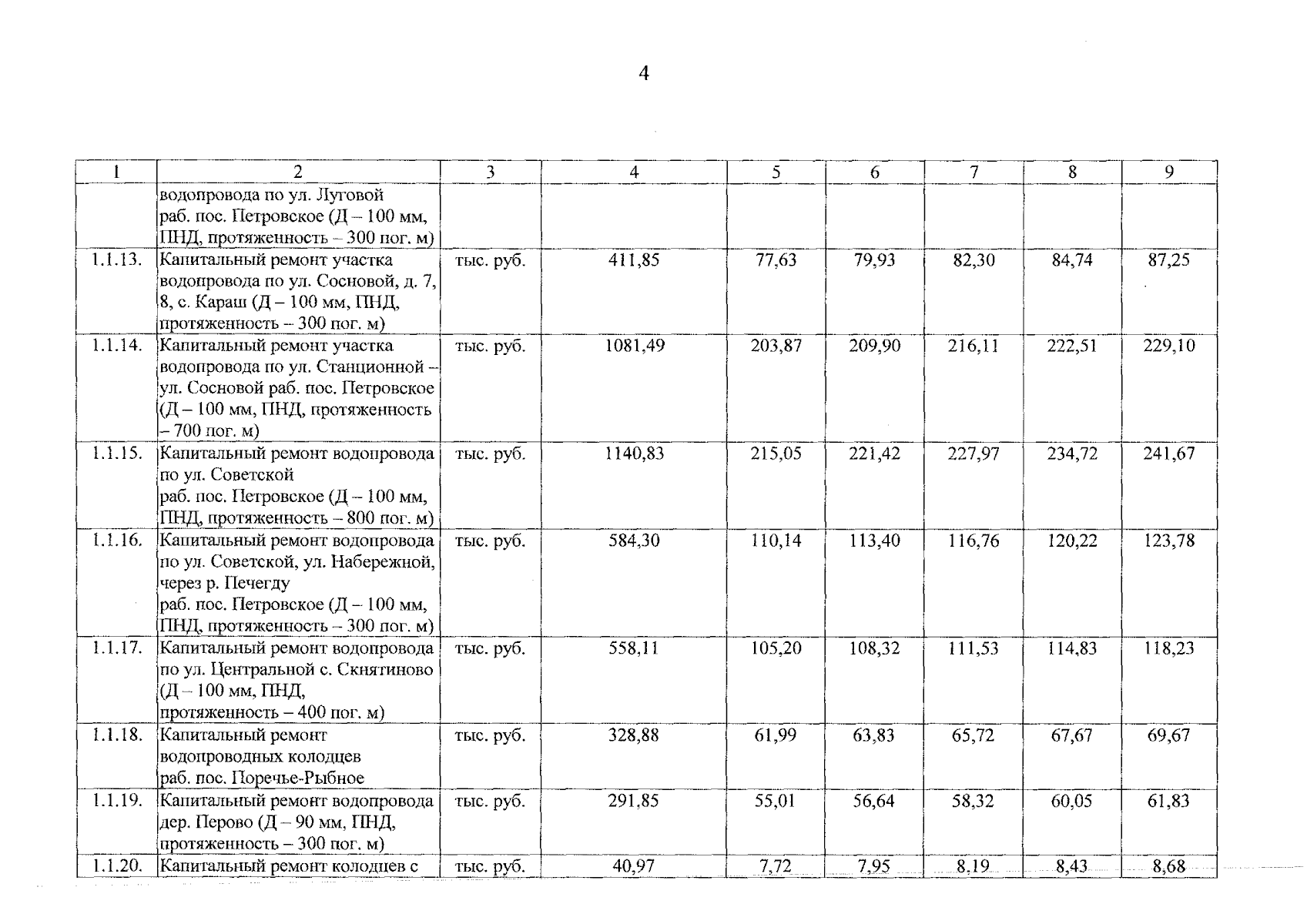
Приказ министерства тарифного регулирования Ярославской области от 18.12.2025 № 326-вс/во
"Об установлении тарифов на питьевую воду и водоотведение для государственного предприятия Ярославской области "Ярославский областной водоканал" (Ростовский муниципальный округ) на 2026 – 2030 годы"
(Зарегистрирован 18.12.2025 № 43-17016)
Номер опубликования: 7601202512180031
Дата опубликования: 18.12.2025
Страница №9 из 20:
Увеличить