Официальное опубликование правовых актов
ОФИЦИАЛЬНОЕ ОПУБЛИКОВАНИЕ
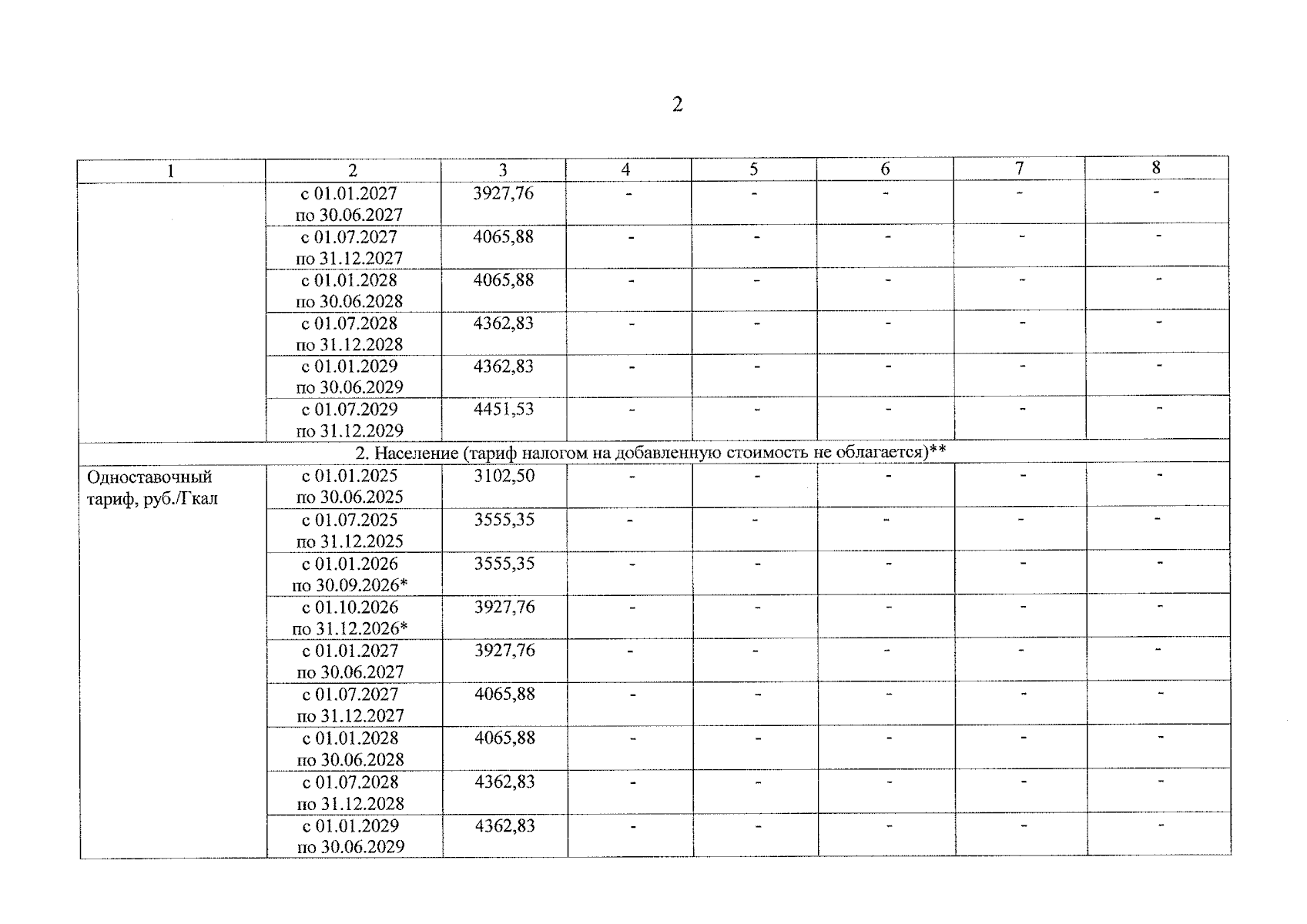
Приказ министерства тарифного регулирования Ярославской области от 16.12.2025 № 264-ви
"О внесении изменения в приказ министерства тарифного регулирования Ярославской области от 22.10.2024 № 109-тэ"
(Зарегистрирован 17.12.2025 № 43-16965)
Номер опубликования: 7601202512170041
Дата опубликования: 17.12.2025
Страница №4 из 5:
Увеличить