Официальное опубликование правовых актов
ОФИЦИАЛЬНОЕ ОПУБЛИКОВАНИЕ
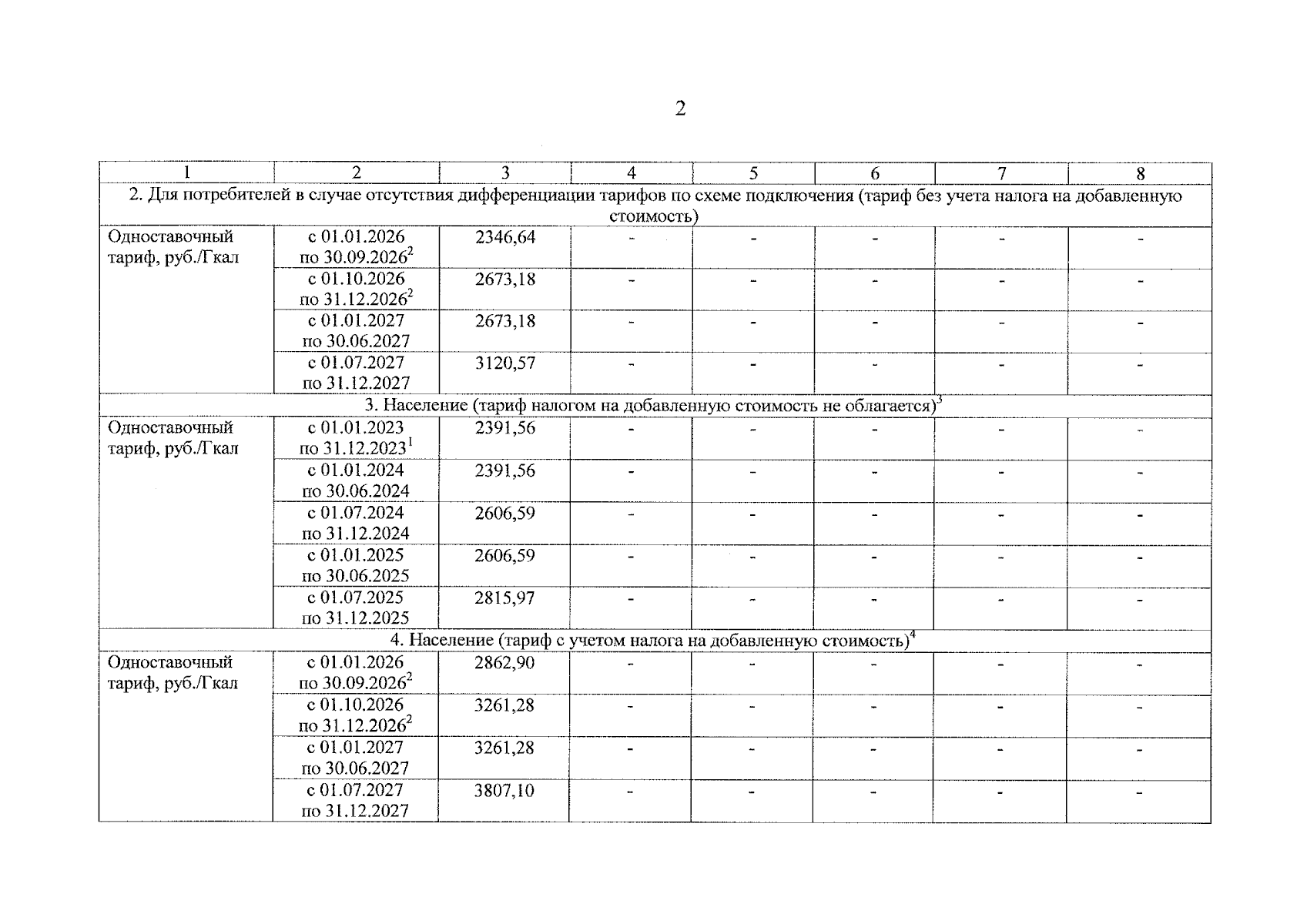
Приказ министерства тарифного регулирования Ярославской области от 16.12.2025 № 253-ви
"О внесении изменений в приказ департамента регулирования тарифов Ярославской области от 17.11.2022 № 109-тэ"
(Зарегистрирован 16.12.2025 № 43-16938)
Номер опубликования: 7601202512160022
Дата опубликования: 16.12.2025
Страница №4 из 6:
Увеличить