Официальное опубликование правовых актов
ОФИЦИАЛЬНОЕ ОПУБЛИКОВАНИЕ
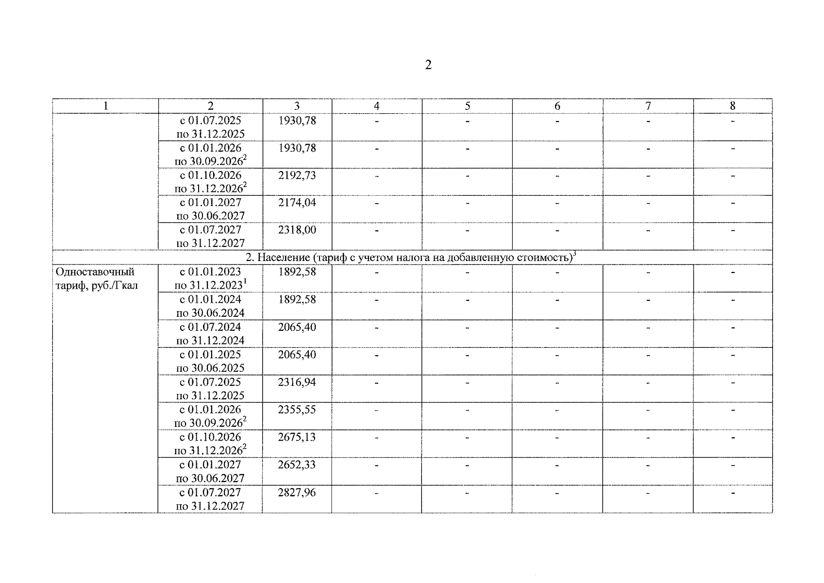
Приказ министерства тарифного регулирования Ярославской области от 15.12.2025 № 244-ви
"О внесении изменения в приказ департамента регулирования тарифов Ярославской области от 18.11.2022 № 239-тэ"
(Зарегистрирован 15.12.2025 № 43-16914)
Номер опубликования: 7601202512160016
Дата опубликования: 16.12.2025
Страница №3 из 4:
Увеличить