Официальное опубликование правовых актов
ОФИЦИАЛЬНОЕ ОПУБЛИКОВАНИЕ
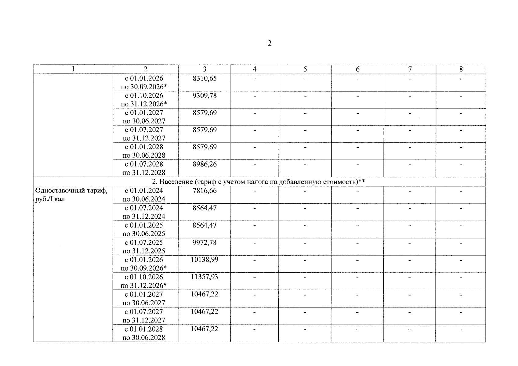
Приказ министерства тарифного регулирования Ярославской области от 15.12.2025 № 242-ви
"О внесении изменения в приказ министерства тарифного регулирования Ярославской области от 19.12.2023 № 397-тэ"
(Зарегистрирован 15.12.2025 № 43-16912)
Номер опубликования: 7601202512160014
Дата опубликования: 16.12.2025
Страница №4 из 5:
Увеличить