Официальное опубликование правовых актов
ОФИЦИАЛЬНОЕ ОПУБЛИКОВАНИЕ
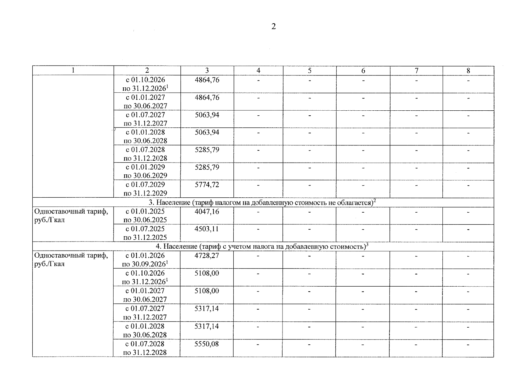
Приказ министерства тарифного регулирования Ярославской области от 11.12.2025 № 207-ви
"О внесении изменений в приказ министерства тарифного регулирования Ярославской области от 22.10.2024 № 108-тэ"
(Зарегистрирован 12.12.2025 № 43-16873)
Номер опубликования: 7601202512150022
Дата опубликования: 15.12.2025
Страница №6 из 7:
Увеличить