Официальное опубликование правовых актов
ОФИЦИАЛЬНОЕ ОПУБЛИКОВАНИЕ
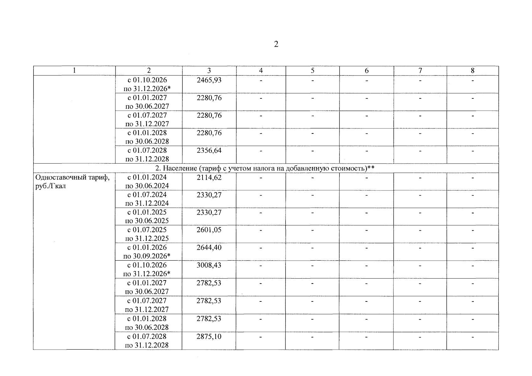
Приказ министерства тарифного регулирования Ярославской области от 11.12.2025 № 190-ви
"О внесении изменения в приказ министерства тарифного регулирования Ярославской области от 12.12.2023 № 254-тэ"
(Зарегистрирован 11.12.2025 № 43-16853)
Номер опубликования: 7601202512120046
Дата опубликования: 12.12.2025
Страница №3 из 4:
Увеличить