Официальное опубликование правовых актов
ОФИЦИАЛЬНОЕ ОПУБЛИКОВАНИЕ
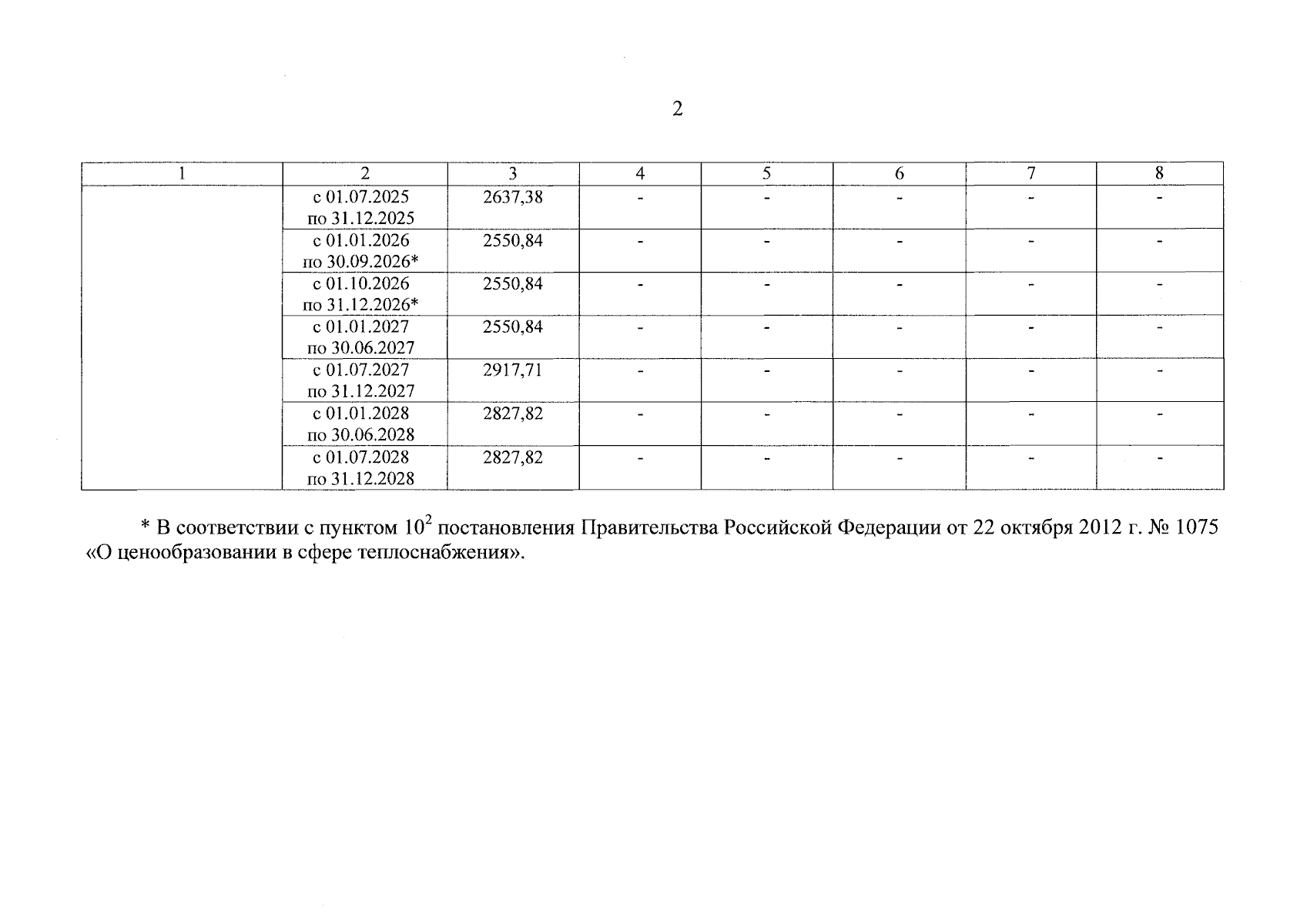
Приказ министерства тарифного регулирования Ярославской области от 11.12.2025 № 188-ви
"О внесении изменений в приказ министерства тарифного регулирования Ярославской области от 12.12.2023 № 247-тэ"
(Зарегистрирован 11.12.2025 № 43-16851)
Номер опубликования: 7601202512120044
Дата опубликования: 12.12.2025
Страница №4 из 7:
Увеличить