Официальное опубликование правовых актов
ОФИЦИАЛЬНОЕ ОПУБЛИКОВАНИЕ
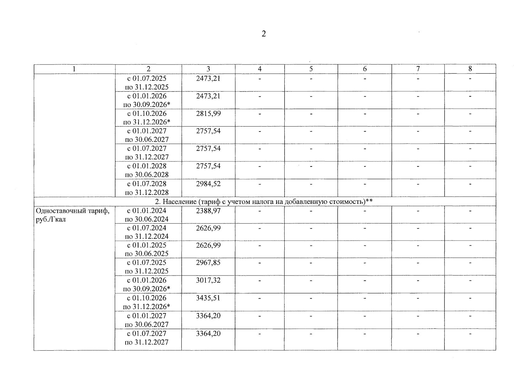
Приказ министерства тарифного регулирования Ярославской области от 11.12.2025 № 193-ви
"О внесении изменения в приказ министерства тарифного регулирования Ярославской области от 22.11.2023 № 197-тэ"
(Зарегистрирован 11.12.2025 № 43-16856)
Номер опубликования: 7601202512120025
Дата опубликования: 12.12.2025
Страница №4 из 5:
Увеличить