Официальное опубликование правовых актов
ОФИЦИАЛЬНОЕ ОПУБЛИКОВАНИЕ
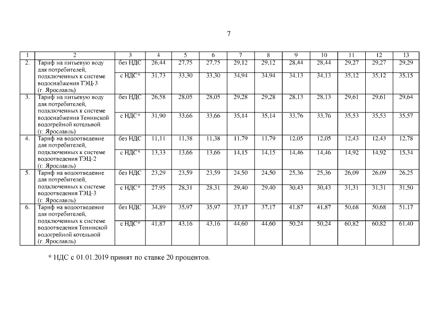
Приказ Департамента жилищно-коммунального хозяйства, энергетики и регулирования тарифов Ярославской области от 19.11.2019 № 157-ви
"О внесении изменений в приказ департамента жилищно-коммунального хозяйства, энергетики и регулирования тарифов Ярославской области от 19.12.2018 № 298-вс/во"
(Зарегистрирован 21.11.2019 № 07-9509)
Номер опубликования: 7601201911260013
Дата опубликования: 26.11.2019
Страница №7 из 7:
Увеличить