Официальное опубликование правовых актов
ОФИЦИАЛЬНОЕ ОПУБЛИКОВАНИЕ
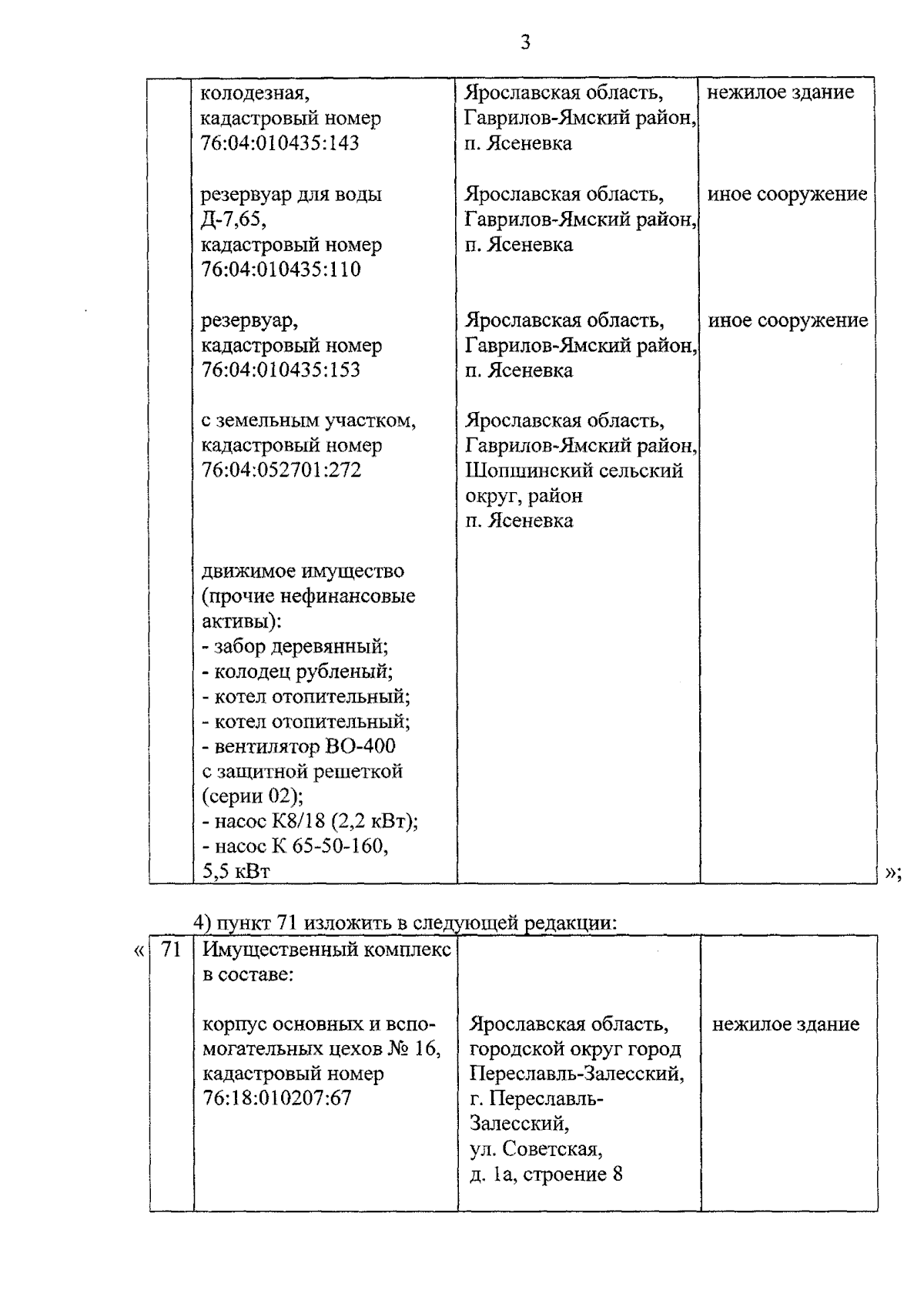
Закон Ярославской области от 03.04.2026 № 25-з
"О внесении изменений в приложение к Закону Ярославской области "О прогнозном плане (программе) приватизации имущества, находящегося в собственности Ярославской области, на 2026 год и на плановый период 2027 и 2028 годов"
Номер опубликования: 7600202604070004
Дата опубликования: 07.04.2026
Страница №3 из 14:
Увеличить