Официальное опубликование правовых актов
ОФИЦИАЛЬНОЕ ОПУБЛИКОВАНИЕ
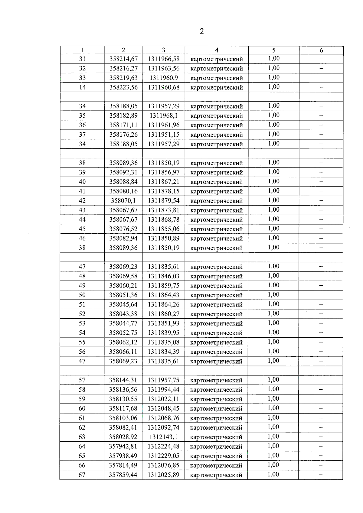
Постановление Правительства Ярославской области от 06.03.2026 № 239-п
"О выделении зоны ограниченного хозяйственного использования, об утверждении Положения о памятнике природы "Центр с. Щекотова" и о внесении изменений в постановления Правительства Ярославской области от 01.07.2010 № 460-п, от 02.11.2017 № 823-п"
Номер опубликования: 7600202603110003
Дата опубликования: 11.03.2026
Страница №43 из 51:
Увеличить