Официальное опубликование правовых актов
ОФИЦИАЛЬНОЕ ОПУБЛИКОВАНИЕ
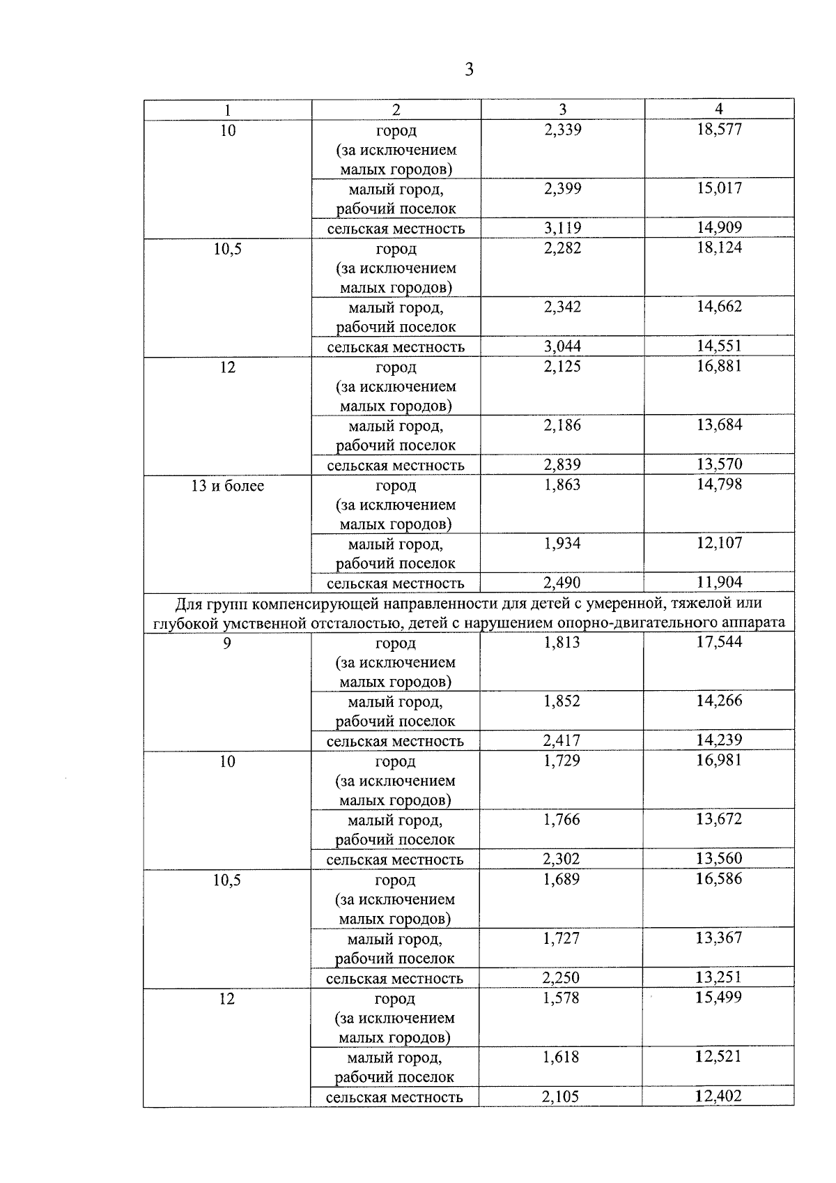
Постановление Правительства Ярославской области от 24.12.2025 № 1368-п
"О внесении изменений в постановления Правительства Ярославской области от 22.01.2014 № 30-п и от 23.01.2014 № 37-п"
Номер опубликования: 7600202512260010
Дата опубликования: 26.12.2025
Страница №12 из 17:
Увеличить