Официальное опубликование правовых актов
ОФИЦИАЛЬНОЕ ОПУБЛИКОВАНИЕ
Постановление Правительства Ярославской области от 20.10.2025 № 1081-п
"О внесении изменений в постановление Правительства Ярославской области от 31.12.2013 № 1779-п"
Номер опубликования: 7600202510230001
Дата опубликования: 23.10.2025
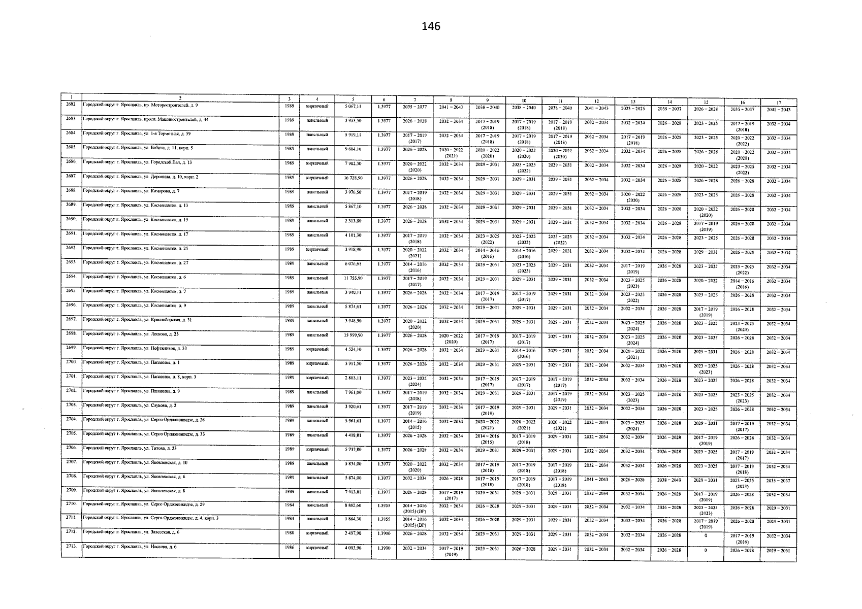
Страница №147 из 326:
Увеличить