Официальное опубликование правовых актов
ОФИЦИАЛЬНОЕ ОПУБЛИКОВАНИЕ
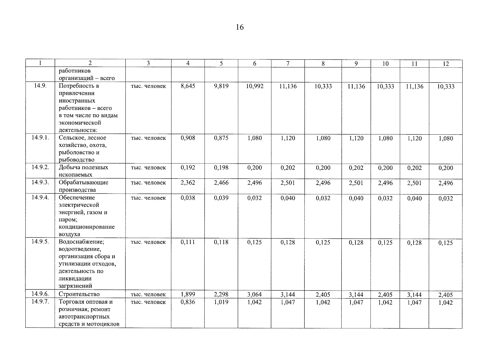
Постановление Правительства Ярославской области от 13.10.2025 № 1048-п
"О прогнозе социально-экономического развития Ярославской области на среднесрочный период 2026 – 2028 годов"
Номер опубликования: 7600202510150002
Дата опубликования: 15.10.2025
Страница №17 из 44:
Увеличить