Официальное опубликование правовых актов
ОФИЦИАЛЬНОЕ ОПУБЛИКОВАНИЕ
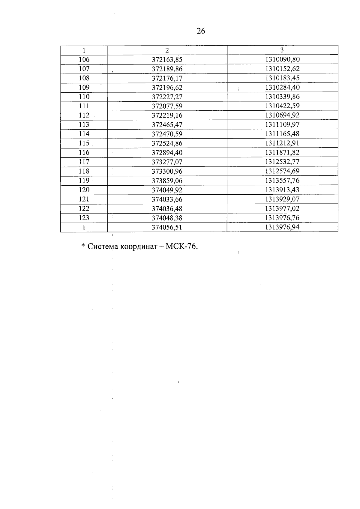
Постановление Правительства Ярославской области от 23.12.2024 № 1368-п
"О выделении в государственном природном заказнике "Козьмодемьянский" зоны ограниченного хозяйственного использования и внесении изменений в постановление Правительства Ярославской области от 06.03.2015 № 241-п"
Номер опубликования: 7600202412230002
Дата опубликования: 23.12.2024
Страница №28 из 29:
Увеличить