Официальное опубликование правовых актов
ОФИЦИАЛЬНОЕ ОПУБЛИКОВАНИЕ
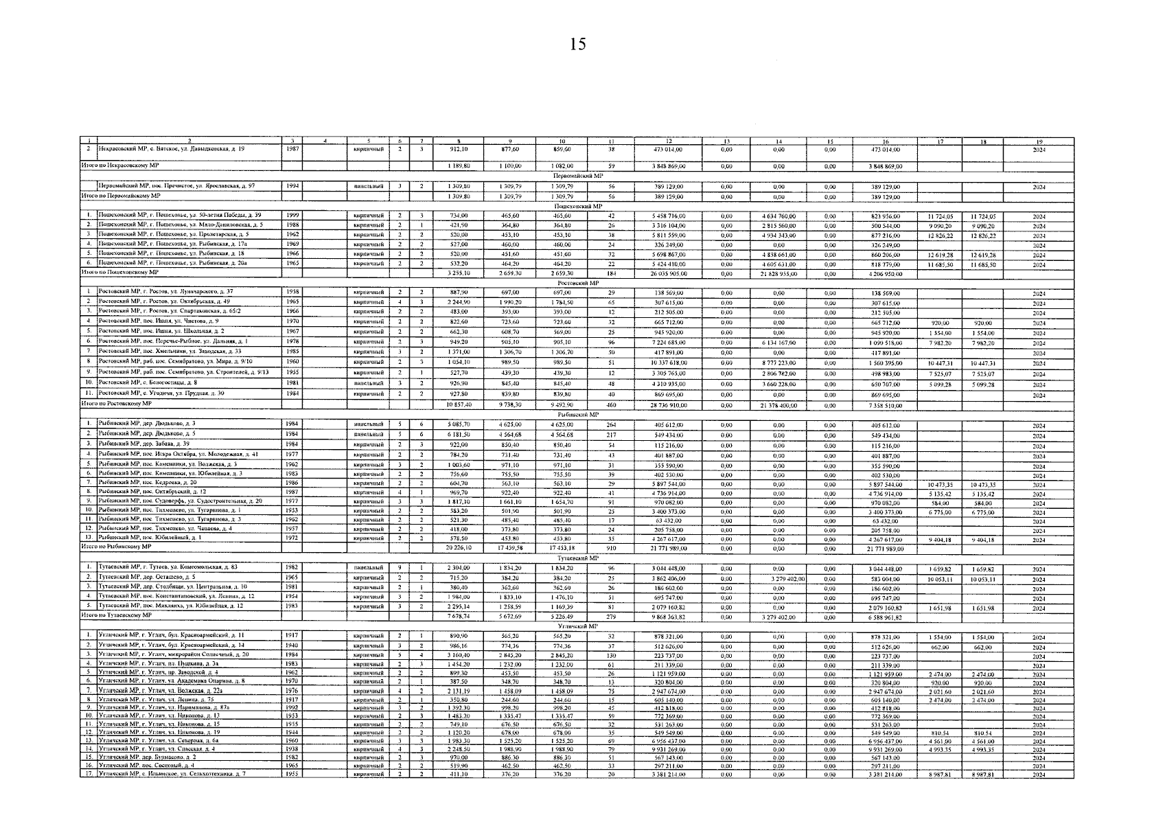
Постановление Правительства Ярославской области от 12.08.2024 № 842-п
"О внесении изменений в постановление Правительства Ярославской области от 27.12.2022 № 1177-п"
Номер опубликования: 7600202408150004
Дата опубликования: 15.08.2024
Страница №16 из 53:
Увеличить