Официальное опубликование правовых актов
ОФИЦИАЛЬНОЕ ОПУБЛИКОВАНИЕ
Постановление Правительства Ярославской области от 10.10.2016 № 1056-п
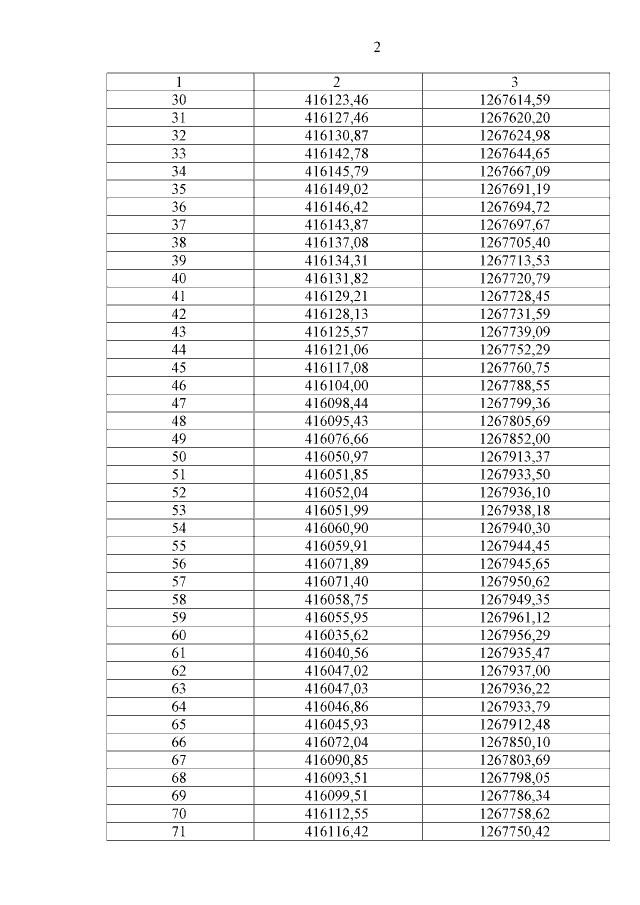
"Об утверждении границы охранной зоны объекта газораспределительной сети "Распределительный газопровод среднего и низкого давления с установкой газорегуляторного пункта шкафного, назначение: иное сооружение, протяженность 854 м"
Номер опубликования: 7600201610120027
Дата опубликования: 12.10.2016
Страница №4 из 6:
Увеличить