Постановление Правительства Ярославской области от 10.10.2016 № 1047-п
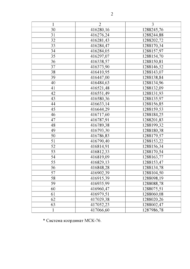
"Об утверждении границы охранной зоны объекта газораспределительной сети "Газопровод среднего давления, назначение: газопровод, протяженность 1371,31 м, инв. № 75892, литер А"
"Об утверждении границы охранной зоны объекта газораспределительной сети "Газопровод среднего давления, назначение: газопровод, протяженность 1371,31 м, инв. № 75892, литер А"
Номер опубликования: 7600201610120025
Дата опубликования:
12.10.2016
