Официальное опубликование правовых актов
ОФИЦИАЛЬНОЕ ОПУБЛИКОВАНИЕ
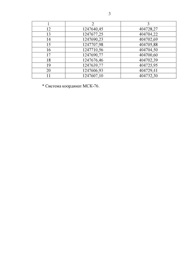
Постановление Правительства Ярославской области от 22.08.2016 № 981-п
"О выделении зон ограниченного хозяйственного использования, утверждении Положения о памятнике природы "Парковый лес Высоковский бор" и о внесении изменений в постановление Правительства области от 01.07.2010 № 460-п"
Номер опубликования: 7600201608250001
Дата опубликования: 25.08.2016
Страница №19 из 21:
Увеличить