Официальное опубликование правовых актов
ОФИЦИАЛЬНОЕ ОПУБЛИКОВАНИЕ
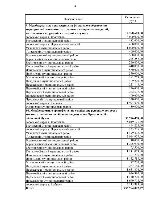
Постановление Правительства Ярославской области от 11.08.2016 № 938-п
"Об исполнении областного бюджета за I полугодие 2016 года"
Номер опубликования: 7600201608110006
Дата опубликования: 11.08.2016
Страница №367 из 372:
Увеличить